Résistance des matériaux

MSE-205

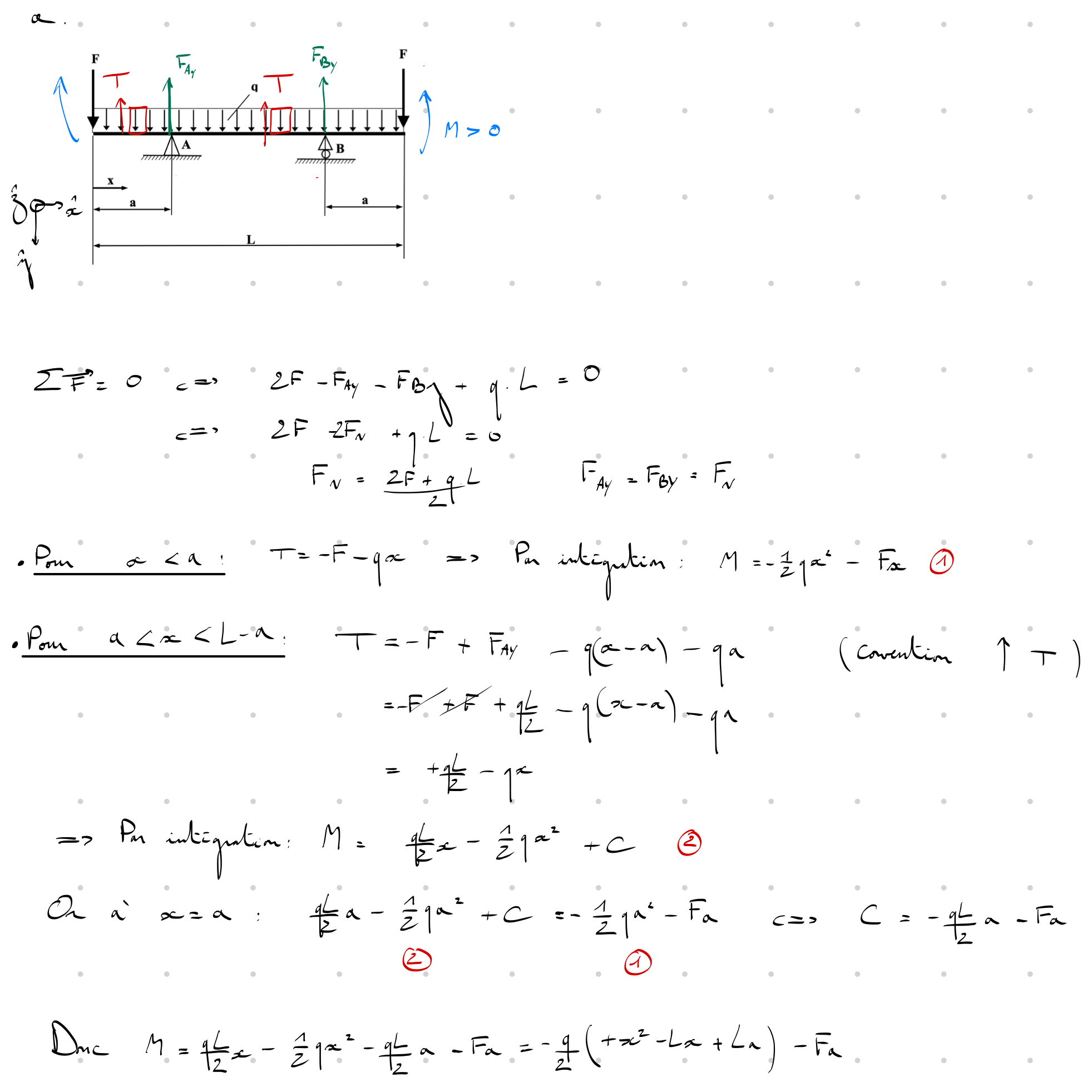
MSE 205 Exo 7 Flexion

This page is part of the content downloaded from MSE 205 Exo 7 Flexion on Sunday, 29 June 2025, 21:00. Note that some content and any files larger than 50 MB are not downloaded.

Files and subfolders