Physical and computational organic chemistry

CH-431

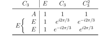
Character Table C3

This page is part of the content downloaded from Character Table C3 on Sunday, 29 June 2025, 18:46. Note that some content and any files larger than 50 MB are not downloaded.

Files and subfolders