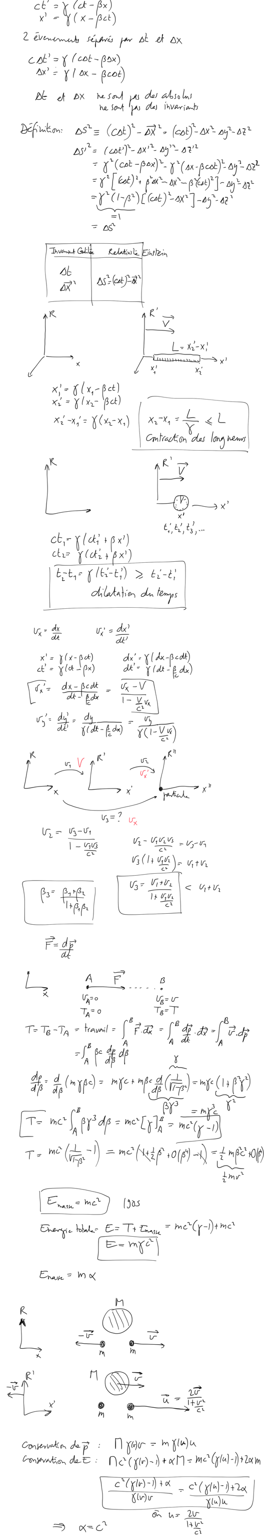
Physique nucléaire

PHYS-342

Enregistrements du cours

Cette page fait partie du contenu téléchargé de Enregistrements du cours le mercredi, 25 décembre 2024, 21:50. Certains contenus et tous les fichiers de taille plus grande que 50 Mo ne sont pas téléchargés.

Description

Enregistrements du cours


Contenu de la page

Cette page donne les liens vers les enregistrements des leçons données à l'aide de Zoom durant le semestre de printemps 2021.

Semestre de printemps 2021

Fichiers mp4 selon le numéro de semaine du semestre: 1, 2, 3, 4, 5a, 5b, 6, 7, 8, 9a (2020, 11 dernières minutes), 9b (2020, 31.5 premières minutes), 9c, 10, 11, 12, 13, 14.